Taxas utilizadas no código:
- 1. Taxa da Reação com 1 Reagente e número de mols constantes:
- 2. Taxa da Reação com 1 Reagente e com variação no número de mols:
- 3. Taxa da Reação com 2 Reagentes e número de mols constantes:
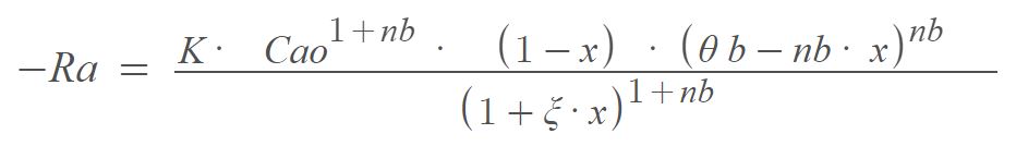
- 4. Taxa da Reação com 2 Reagentes e com variação no número de mols:
